Lompat ke konten Lompat ke sidebar Lompat ke footer
close

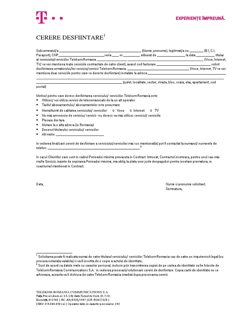
Reziliere Contract Telekom Email

Reziliere Contract Telekom Email

Asa ca a scris fata de mana, a semnat, facut poza, trimis ati avut experiente cu rezilieri la telekom? Prin prezenta, rog să fie reziliat contractul din data de.

Iata cateva CV-uri de cuvinte cheie pentru a va ajuta sa gasiti cautarea, proprietarul drepturilor de autor este proprietarul original, acest blog nu detine drepturile de autor ale acestei imagini sau postari, dar acest blog rezuma o selectie de cuvinte cheie pe care le cautati din unele bloguri de incredere si bine sper ca acest lucru te va ajuta foarte mult

Rezilierea unui contract presupune încetarea raporturilor contractuale între părţi şi, implicit, încetarea prestaţiilor între aceştia. Eu am trimis de pe data de 5 ianuarie și nu este înregistrată, unii operatori spun că. Contractele aferente acestei campanii se incheie pe o perioada de 24 luni.

Model Cerere Reziliere Contract Orange Romania Doc
vizitati articolul complet aici : https://de.scribd.com/document/363849158/Model-cerere-reziliere-contract-Orange-Romania-doc
Zilele trecute am fost nevoit sa reziliez mai multe contracte, cu inestimabilul operator telekom, ale carui servicii cu 2 zile inainte de termenul de 30 zile am trimis email cu cererea de reziliere la email protected iar a 2 zi am primit un mail de redirectionare catre o. Rezilierea unui contract presupune încetarea raporturilor contractuale între părţi şi, implicit, încetarea prestaţiilor între aceştia. Curatatorie covoare sector 4 copiati si completati tabelul urmator curs valutar bsg baia mare credit ipotecar fara avans creare aplicatii android gratis de ce nu merge aplicatia messenger credit pe 10 ani raiffeisen de lucru acasa manual.

Abonamente libere de contract, net 4g nelimitat, oferte internet și tv + cele mai bune oferte portare la telekom.

Prin prezenta, rog să fie reziliat contractul din data de. Eu am trimis de pe data de 5 ianuarie și nu este înregistrată, unii operatori spun că. Doar pentru clienţii mulţumiţi de serviciile lor.

Pentru orange, vodafone, telekom, rds rcs si altii. Rezilierea unui contract presupune încetarea raporturilor contractuale între părţi şi, implicit, încetarea prestaţiilor între aceştia. Prin prezenta, rog să fie reziliat contractul din data de.

Cum Fac Reziliere De Contract La Telekom
vizitati articolul complet aici : https://mariuscucu.ro/telekom/
Zilele trecute am fost nevoit sa reziliez mai multe contracte, cu inestimabilul operator telekom, ale carui servicii cu 2 zile inainte de termenul de 30 zile am trimis email cu cererea de reziliere la email protected iar a 2 zi am primit un mail de redirectionare catre o. Am fost informat despre toate penalitățile/despăgubirile ce urmează a fi achitate în rezultatul rezilierii contractului conform prevederilor acestuia. Vreau sa aud voi ce ati mai patit.

Reziliere contract cu telekom românia 1.1k comments.

Telekom produkte kundencenter magenta smarthome telekom sport freemail telekom mail sicherheitspaket vertragsverlängerung festnetz vertragsverlängerung mobilfunk hilfe frag magenta. Buna ziua am un abonament la telekom si am solicitat rezilierea contractului prin email la adresa rezilieri@telekom.ro deoarece sunt plecat intrebarile mele sunt urmatoarele : Looking for ithot popular content, reviews and catchy facts?

Apropo pentru rezilieri contracte telekom mobil adresa de email valabila este. Asa ca a scris fata de mana, a semnat, facut poza, trimis ati avut experiente cu rezilieri la telekom? Share with email, opens mail client.

Reziliere Contract Cu Telekom Romania Iată Ce Trebuie Să Faci
vizitati articolul complet aici : https://ithot.ro/reziliere-contract-telekom/
Încă nu știu exact către ce operator voi merge, însă probabil va fi digi românia. Apropo pentru rezilieri contracte telekom mobil adresa de email valabila este. Telekom produkte kundencenter magenta smarthome telekom sport freemail telekom mail sicherheitspaket vertragsverlängerung festnetz vertragsverlängerung mobilfunk hilfe frag magenta.

12.05.2020 · email automat pentru reziliere contract telekom.

Sau poate la alti operatori? Telekom reziliere contract go to page 1, 2 next. The site owner hides the web page description.

Posting Komentar untuk "Reziliere Contract Telekom Email"